麻辣社区-四川第一网络社区

校外培训 高考 中考 择校 房产税 贸易战
阅读: 7991|评论: 6

[转帖] 6名奥密克戎康复者自述:一开始或有过心理压力,但病毒并不可怕

[复制链接]

发表于 2022-12-5 07:30 | 显示全部楼层 |阅读模式
          近期,随着全国多地优化调整疫情防控措施,公众对奥密克戎变异株的关切再次达到顶点。
打赏

微信扫一扫,转发朋友圈

已有 63 人转发至微信朋友圈

   本贴仅代表作者观点,与麻辣社区立场无关。
   麻辣社区平台所有图文、视频,未经授权禁止转载。
   本贴仅代表作者观点,与麻辣社区立场无关。  麻辣社区平台所有图文、视频,未经授权禁止转载。

 楼主| 发表于 2022-12-5 07:33 | 显示全部楼层
  有人内心焦虑,亦有人已不惧病毒,只是一些问题依然回荡在脑海:奥密克戎变异株致病性到底多高?普通人感染症状多严重?应该如何治疗?康复后会留下后遗症吗?还存在歧视康复者的情况吗?……

  事实上,众多传染病专家都曾回应过这些问题。科学证据表明,现阶段流行的奥密克戎变异株引起重症和死亡的比例明显低于之前的原始毒株,这既是奥密克戎变异株毒性低、传播力强的特点所致,也与人群接种疫苗水平提高、及时干预等因素相关。

  12月2日,复旦大学附属华山医院感染病学科教授王新宇在接受澎湃新闻记者采访时也再次强调,随着新冠病毒的流行以及变异、疫苗接种率不断提高,新冠病毒感染后的重症比例和病死率不断下降。奥密克戎变异株的致病力较之前的流行毒株有了较为明显的下降,感染者绝大多数为无症状或轻型患者。

  近日,澎湃新闻记者对话多名2022年感染过新冠病毒且已核酸转阴的上海市民群众。他们中间有年过九旬的老人、年仅6岁半的女孩以及艾滋病患者;也有人居家自愈,经历了“转阴”的波折。虽然感染后每个人身体变化不同,但多位受访者提及了当时的心理压力和思想负担。不过,随着身体康复,他们的生活也回到了正轨,目前均没有出现后遗症。

  考虑到个体差异,这几位受访者的症状与情况不能代表所有人,但是他们还是能够作为真实的样本提供参考。

  “我们没有新冠的症状,就是当时思想负担很重”

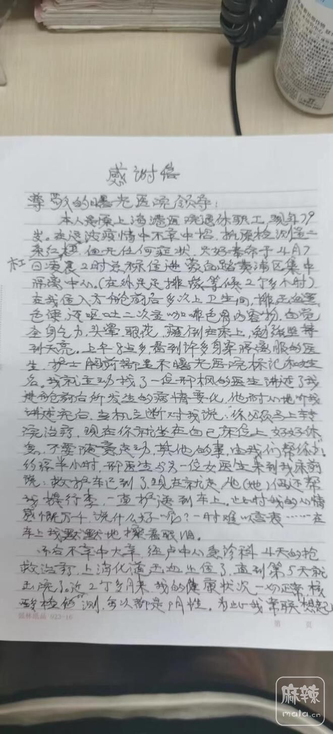
  讲述人:张世和,79岁,退休职工

  简要来说,我和老伴从感染新冠病毒到核酸转阴,从上半年疫情时期到现在,一直无症状,没吃过药,也没什么感觉,身体跟以前一样。

  究竟如何感染的,我也不清楚。事后回想,可能是3月31日浦西封控前夜,那天我到黄浦一个菜市场买馄饨皮,那时候接触的吧。4月1日封控以后,我们每天抗原自测,4月2日我和老伴检出“两道杠”。

  怎么会“两道杠”,说实话我思想上很紧张,不明白怎么自己患了这个毛病,很害怕。但当时没有什么症状,咳嗽也没有,发烧也没有,全身也不痛,没什么不舒服,就是思想负担很重。

  接着核酸确认阳性后,居委通知我们等候去方舱医院。4月6日中午12点多接到电话,让我们把东西整理好准备去方舱,大概晚上11点钟车子到了。这辆面包车上坐着十来个人,12点多我们到了黄浦区一家方舱医院。因为那天收运的人很多,车子也多,我们这辆车子停在门口等了好久。

  在等候进方舱的过程中,我出了一点状况。

  车里很闷,门窗都关着。我开始烦躁、心慌,逐渐感觉头晕、恶心、腹部不适。我想上厕所,但驾驶员下车我不能出去,实在摒不住了,我看到车窗有个缝,把手伸出去招呼远处的驾驶员,请他们让我下车上厕所。驾驶员过来了解情况,开门让我下车。当时我已经大便失禁了。

  进入方舱医院后,老伴帮我办了登记手续,我还是不舒服,当晚又上了几趟厕所,发现排泄物是褐色的,明显是便血。这让我越发紧张不安,我虽然身体很疲惫,却怎么也睡不着,就这样撑到了天亮。


  6月,79岁的张世和为曙光医院医生手写了一封感谢信,感谢医生在方舱医院及时帮助自己转院救治。本文图片除注明外,均为受访者供图

  4月7日清晨,我看到许多身穿防护服的人在过道,防护服上写着曙光医院,我拉住一个医生想请他帮我看看。那位医生听完我陈述病情,说要马上转院治疗,方舱没有治疗条件,他帮我联系了转运。

  4月7日当天,我被转运到卢湾中心医院,在医院发热门诊接受紧急救治。医生查出我消化道出血,接下来挂盐水、吃药,救治了四天四夜。那时候我还是很紧张,担心自己要完蛋了,最不安的时候,我甚至给远在国外的孩子留了遗言。不过四天下来,我的消化道出血缓和,很快痊愈了。

  4月11日我又被转运回方舱医院,工作人员把我和老伴安排在一起,相互可以照应。那时候我们每天核酸,4月19日我们核酸转阴,4月25日、26日我和老伴分别出舱回家。

  很多人都问过我们是怎么治疗的。我老伴今年74岁、我79岁,她和我2021年都接种了新冠疫苗,她打了两针我打了三针。感染病毒整个过程,从我们发现核酸阳性到转阴出舱,我们没有出现过感冒、咳嗽、发烧、疼痛等新冠患者常见症状,没有吃过感冒药。我因为消化道出血有一次治疗,我老伴什么药都没吃过,就在方舱医院住了近三周。

  至于我的消化道出血,医生说和感染新冠病毒没什么关系。我怀疑,可能是我高度精神紧张导致的,那个时候,我每天老会想怎么我这么倒霉,感染了这种病,心里面很焦急。

  出舱至今,我和老伴日常都按照社区要求做核酸,没有复阳过,从来都是阴性。现在常态化管理时期,我们两三天做一次核酸。生活很平静,平时买买菜,在社区活动活动。大家都很友好,我们没遇到过歧视,身体也没有什么后遗症,完全跟以前一样。

  面对新冠病毒,现在我可能没有一开始那么紧张了,但我和老伴平时还是很注意,出门戴好口罩,按时做核酸,希望不要再出现以前那种情况。

  “我居家自愈,真的没什么后遗症,你让我拼命想我也想不起来”

  讲述人:王女士,25岁,居住在浦东新区某小区

  我们小区是老公房,几乎每栋楼都有感染。我不确定自己怎么感染的。

  4月8日下午,我开始不舒服,觉得头痛、喉咙痛,晚上测温37.8℃发烧了。觉察到可能感染了新冠是因为腰酸,平常感冒不会有腰酸,那次就像下雨天风湿的感觉。体力也不好,胸闷,爬4楼会气喘,但也没有虚到走不了路,只是提不起精神。

  当时买药不方便,家里有什么吃什么,连花清瘟、抗病毒口服液都吃,贴退热贴。我始终没有烧到过40℃以上。



  居家自愈的王女士,她感染后在手机上记录每天身体症状变化和用药等情况

  4月10日,我确诊了。那几天体温虽然在下降,但喉咙像刀割一样更痛了。我以前有过扁桃体发炎,这次要痛很多。大概持续到4月15日,主要嗓子痛,后来喉咙好了,腰酸背痛等身体症状也没有了,身体跟感染前没什么两样。

  但我的核酸结果有些反复。因为患有其他疾病,且是独居,我向居委争取了居家隔离。每隔三四天有人上门核酸,一开始测的几次是阳性,4月18日是阴性,20日是阳性,22日是阴性,28日阴性,这才算正式转阴。我的抵抗力不是特别好,一直在临界值徘徊。

  居家隔离期间,我的食欲没什么变化,就是正常吃饭。我一般睡很久,中午起床吃一顿,晚上吃一顿,大多数时候都在床上躺着,捂紧被子、开空调,也不怎么走动。整个人精气神比较差。

  我当时咨询了一个医生,他说最好能买到头孢,但我买不到,家里只有连花清瘟、抗病毒口服液。连花清瘟吃了几天就停了,抗病毒口服液一天三支坚持吃,症状没了继续吃,毕竟没有症状也不代表完全好了。后来吃到没有了,翻出了过期的,我就喝过期的抗病毒口服液。我感觉吃药没什么作用,更像是心理安慰。还有多喝水,一个上午要喝七八杯水。

  身体其实没那么难受,但心理压力很大,看到很多网上的信息,比较焦虑,晚上三四点都睡不着。我们小区也有老年人确诊,过几天就转阴了,可能他们没有什么心理负担,好得快。

  感恩楼上一位热心的邻居,之前不认识,就是疫情期间小区微信群里加的。在我居家期间,他一直帮我把居委发的物资以及我自己买的屋子放在家门口。其实感染的事我没跟别的邻居透露,也不敢在群里说话,帮我拿物资的邻居只是奇怪我怎么没去方舱,但没有表现出嫌弃或担忧。

  康复之后,我的生活没受什么影响。季节性病毒感冒、扁桃体发炎,后来也会有,其他就没什么。这几个月,我的口腔溃疡长得更多了,但挺玄学的,口腔溃疡跟压力、饮食等很多因素都相关。我也会做剧烈运动,心肺功能没什么影响,跟感染新冠之前差不多,呼吸上没有明显变化。

  刚恢复上班的时候,做核酸要单人单管,两个礼拜后就没有这个要求了。

  确诊初期,我告诉了上海同事,他们很惊讶。到了4月末,大家听到已经没什么情绪起伏,习惯了。但是和外地人讲起这件事,他们会用一种如临大敌的眼神看你,或者用一种很夸张的口吻,“你阳过?没事吧?”“有没有什么后遗症?”感觉我刚从ICU出来一样。

  前段时间,北京的前同事专门打电话来问我,得了新冠有没有后遗症。我说没有,他一副不相信,又很害怕,就继续追问,我说“我真的没什么后遗症,你让我拼命想,我也想不起来”。

  其实生病之后,我特别注意了有没有人会歧视我,结果完全没有。我在互联网公司工作,跟别人说我感染过新冠,他们的反应没什么特别的,大家主要就是好奇。我也问过HR,招人的时候会不会问一句“你有没有阳过”,他说根本不问。

  我接种过2针疫苗,但还是感染了,生病可能还得靠免疫力。通过这件事情,我觉得身子太虚了。因为当时好得很慢,居委会告诉我,70多岁的老太太都好了,我还没转阴。

  我平时作息不规律,也不爱吃水果、蔬菜、牛奶。年轻人大多生活得不怎么健康,我感觉年轻人也可能是易感人群。

  前几个月,我会做做运动,一周去一次健身房,增强免疫力,运动也能让心情好点。但最近一个月也停掉了,现在感觉不运动也没啥。这个病得就得了,即便再得一次,如果不拉去方舱,那我也不怕。可能对我来说,防范病毒不是因为生理问题,而是害怕被拉走隔离。

  “我身体上没什么影响,但女儿至今仍在学校单人单管采样,有点特殊”

  讲述人:唐女士,31岁(她6岁半的女儿、68岁母亲也都曾是新冠病毒感染者)

  4月12日入住新国博亲子方舱,4月18日结束了方舱之行。虽然过去了半年,但是如今回忆这一段,我还是觉得记忆深刻。

  4月以前,在我们家,我6岁半的女儿糖糖因为此前得过肺炎,我没让她接种疫苗,我和68岁的母亲分别接种过两针和三针疫苗。

  4月头的时候,我母亲最先确诊感染了新冠。4月4日半夜,我和女儿就作为密接进入了隔离酒店。次日一早,我摸到女儿的额头发烫,一测体温发现有热度,过了一会儿她就开始哭着说身上疼。我马上联系隔离酒店医疗组,叫120去了同仁医院,女儿也在之后被检测出核酸阳性。

  小孩子其实比较直观,难受了就会哭闹,那时候女儿就哭闹了一天,说明第一天确实是疼得比较厉害的。到了第二天,她就不太哭了,我让她多喝水多睡觉,她迷迷糊糊地睡了很久。

  我自己其实在女儿发高烧的差不多时间,身上也开始有了热度。从我自己直观的身体感受来说,感染新冠还是比正常的发烧要难受一点,主要是发烧,身体疼,然后就是咳嗽。

  发烧和身体的疼痛几乎是同时到来的,主要集中在“阳”了的前两三天。那种疼就是浑身无力的感觉,人也站不直,骨头和肌肉都疼。但是两天之后,基本上这种疼痛就消失了。之后就是咳嗽,大概一个礼拜,会有痰,但咳嗽的频率不是很高,也不剧烈,到后面偶尔咳一下,也不会放在心上。

  不过据我母亲说,她感染了以后倒没觉得身体有什么疼的。现在过去半年了,我们三个人的身体没有什么毛病,我自己后来到现在都没有感冒过,都还挺健康的。

  生活上,在我们回到家后,没有别的特别不方便的地方。楼里邻居不太和我们聊感染后的这些经历,可能他们还是觉得有点偏隐私、敏感。我的同事倒是会来问我,感染后感觉如何?我也都告诉他们,其实没什么的,我心理上没觉得有什么好忌讳的。

  女儿和我不太讨论那时候的事情了,但是这事对她也不是一点影响也没有。今年九月,女儿上了小学一年级,入学前,是否感染过新冠等情况我们都如实上报了,所以女儿在学校做核酸采样,至今还是单人单管的。我自己是觉得,这样多少有点搞特殊,但是我问了她,她没觉得有什么。

  还有一层好的影响吧,就是女儿和一位“大白”哥哥结下了友谊。



  4月份在方舱医院,“大白”刚刚哥哥陪唐女士6岁半的女儿糖糖玩,让孩子在方舱的生活多了色彩

  4月份在亲子方舱的时候,有一个叫刚刚的“大白”哥哥,一直在方舱里陪我女儿玩的,给她分零食,还会把塑料袋铺到拖车上带着她转,给我女儿的方舱生活添了很多色彩。在方舱的时候,我因为担心打扰他工作什么的,没有加他微信,我女儿刚回到家,就很想念刚刚哥哥。后来我通过一个微信群,找到了他。

  那时候我以为他是广东来援沪的医务人员,后来才知道,原来他是一名志愿者,仍然在上海。所以上海逐步恢复正常生产生活秩序以后,我就在微信上和刚刚哥哥说,谢谢他在方舱为我们做的事情,想请他吃饭。7月3日,我们如愿在方舱以外的地方,第一次见到了脱下“大白”服的刚刚哥哥,很帅的,哈哈。

  那天刚刚哥哥带来了女朋友过来,他女朋友也了解我们之间的故事,他们带了很多的礼物和水果来。女儿刚见到刚刚哥哥的时候,还挺害羞的,不过很快就玩熟了,大小朋友一起在商场跑跑跳跳。最近刚刚哥哥又去了外地,前几天微信联系我说,要给我们寄当地特产,他真的太热情了。

  “我们的免疫力相对会低一些,但我在方舱呆了一天就转阴了”

 楼主| 发表于 2022-12-5 10:45 | 显示全部楼层
  讲述人:小曹,32岁,艾滋病感染者

  5年前因一次意外,我在毫不知情的情况下被感染了艾滋病病毒,通过药物治疗,我的病情已得到控制,体内甚至检测不到HIV病毒载体。

  新冠疫情发生时,我起初有过一些担心。对艾滋病患者来说,免疫力相对一般人群会低一些,身体抵抗力弱一些。

  我今年4月份感染了新冠病毒,正好处于上海疫情封控期间,我被封控在家里,小区当时陆续出现了多例阳性病例,社区集中筛查核酸,来进一步控制疫情的大规模发生。

  我无从知道,我是如何感染新冠病毒的。起初,我意识到嗓子哑了,立马在家做了一次抗原,当时是淡淡的两条杠,内心有些慌乱,给居委会打了电话。

  大概等了2天,大白上门为我检测核酸,不久后就接到了电话,通知我核酸监测异常,我的核酸记录也一直显示检测中,直到被拉去方舱医院。

  入住方舱的第一天,我的核酸记录仍显示:检测中。我起初很害怕,在登记时咨询了大白,但大白明确回答:没有什么好担心的,你只是一个轻症患者。

  这番话打消了我很多顾虑。第二天,我在方舱内做了核酸检测,结果显示阴性。此后连续三天,都保持阴性。这让我的方舱生活没有了太多担忧。

  方舱洗澡间是单独的,这点让我很欣慰,公共厕所不是特别干净,但还在可忍受范围内。入舱第一天,我就收到了很多日用品,包括眼罩、耳塞、脸盆、牙刷牙膏等。

  方舱每天会准时发放饭盒和药物,我收到过中药包,连续喝了2天,就没什么症状了,其间也没有出现过发烧、咳嗽等症状,仅仅是嗓子痒。

  连续保持三天核酸阴性后,第五天我就结束隔离治疗,出了方舱。之后我开始居家隔离,这些日子里更放心了,没有一点症状,胃口也很不错。

  出舱2个月后,我去医院做了影像学检查,确认新冠病毒是否影响肺部,当时无意中看了新闻报道里在说新冠后遗症,但检查结果一切正常。

  在整个感染新冠过程中,我没有遭遇过任何社会上的歧视,当时我居住的楼栋出现了其他阳性病例,我一度怕被责怪因我而感染,但并没有人怪我。

  出舱后我没有复阳,因此一点心理负担也没有。我想告诉大家,这个病毒一点也不可怕,要相信自己。

  我很庆幸,这段被新冠感染的经历,没让我受到就业歧视,还帮我养成了健身习惯。我的生活作息也较之前好了,以前只是偶尔运动,现在买了哑铃、弹力带等运动器材,每天坚持运动一小时。

  “我感觉新冠一点不可怕,保持良好的心态很重要”

  讲述人:王漫如,93岁

  在感染新冠前,我住在浦东新区的一家养老院,今年4月我“中招”了,出现了咳嗽的症状,于当月23日进入临港方舱医院治疗。

  因为高龄,我还有一些基础性疾病,我被方舱医护人员重点关注。我的肺部出现了一些炎症,医护人员对我特别关心,他们给予我氧疗、药物治疗等,同时在营养、护理等方面也给予了我重点关注,让我的病情好转得很快。

  整个治疗期间,我的胃口还不错,心情也不错。我本身就年岁已高,也没想到自己可以活过90岁。我曾在70多年前以护士的身份,自愿报名参加抗美援朝医疗队,在战场大后方呆了6个月,救治过许多受伤的志愿军战士,这段经历让我的人生获益匪浅,也使得我面对困难多了一份从容和淡定。

  经过一周多治疗,我的症状逐渐缓解,多次核酸检测结果也都显示阴性,于4月30日康复出院。

  

  出舱后,我继续回到养老院生活,有专门的护理人员24小时陪护着我,我的身体状况也一直很好。

  在养老院,我坚持规律作息和运动,每天早上6点不到准时起床吃早饭,之后写一会儿字。每天午休后,我就起来看看电视,和其他老人聊聊天,傍晚或晚饭后,护理人员会陪我一起到走道里散个步,活动下筋骨。晚上差不多八九点,我就洗洗睡睡了。

  前阵子重阳节前夕,我身体有些不太舒服,可能是临时换了护工有些不大习惯,但没什么大碍,后面挂了营养液,身体又恢复了,胃口也好了,最近降温,我加了些衣物以防着凉,或许是天冷了,最近胃口反而更好了,睡眠质量也很不错。

  我想一个人年纪大了,总归会有这样那样的小毛病,都在我接受范围内。和我同一房间的一位91岁老人,今年也感染过新冠,康复后回来这里,身体一直很不错,我们有空还会一起在房间里打打麻将。

  我感觉新冠一点不可怕,保持良好的心态,吃好睡好很重要。你需要每天保持一个好心情,积极去面对这个疾病,即使感染了也不要害怕,配合医护人员治疗,相信他们。

  治疗期间也可以多跟家里人打打电话、聊聊天。在方舱期间,我就常跟我儿子通电话。出了方舱后,我也常用手机跟家里人视频,还拍一些我养老院生活的照片给他们。

  我相信,现在的医学水平很高,我们一定可以战胜这个病毒。

  “我这个人很乐观,我觉得心情好是最大的免疫力”

  讲述人:陈朝松,52岁,务工人员

  出方舱至今,我没有感冒发烧,也没有觉察身体留下后遗症。

  我也搞不清楚自己是从哪里感染的新冠,3月底,我在上海仁济医院做后勤,3月28日那天我接到疾控电话,说我被确诊阳性,要我在家里等待安排,不要出门。3月29日下午5点左右,我被接到了世博方舱医院。

  回想起来,那段时间我身体没有明显症状,稍微有点小感冒的迹象。我在上海打工二十多年了,厨师、理发、后勤、送水等临时工我都干过,现在也在杨浦区做送水工。像我们这种打工人,一点小感冒不会放心上,进了方舱医院后,我心态挺好的,早饭有馒头和白煮蛋,中饭、晚饭荤素搭配得很好。刚进去时,我就刷刷手机,看看天花板。

  我这个人很乐观,我觉得心情好是最大的免疫力。在方舱医院里,我看到感染者大都没有严重症状,心态也都很好,到处是有说有笑的人,有打牌的、跳广场舞的,有的人一次吃两三个盒饭,胃口很好。在方舱医院我也没有治疗,因为一切都很正常,4月15日我转阴后出舱了。


  4月,陈朝松从方舱医院出舱后在街头露宿一段时间。澎湃新闻记者巩汉语图

  但是我没有住所,在街头露宿二十多天,然后到一个社区做志愿者,看管有阳性感染者的楼栋。上海解封后,我继续在社区干过一段时间特勤,接着干送水工直到现在,中间换过送水公司。

  我觉得免疫力很重要,我2021年接种过三针疫苗,现在我送水,其实这也是一种身体锻炼吧,别人健身、减肥还要花钱去健身房。至于歧视感染者,不能说社会上完全没有,但我没有明显受到过这种影响,一直就是换来换去地打工。

  我们打工的,偶尔可能有机会洗个热水澡,经常冷水冲一冲,身体抵抗力还蛮好的。出舱到现在我没感冒过,反正身体一直没啥毛病吧。

 楼主| 发表于 2022-12-5 14:44 | 显示全部楼层


月30日,在华山医疗队员们的祝福下,王漫如老人康复出院

发表于 2022-12-5 15:54 来自麻辣社区客户端 | 显示全部楼层
吴尊友,出来解释后遗症。
跳二人转时候忘乎所以。
给社会带来恐慌,不安定。
历史的罪人。

dxp

发表于 2022-12-5 16:08 | 显示全部楼层
这份自述应该早点公布,奥密克戎已经一年多了。

发表于 2022-12-7 19:20 | 显示全部楼层
假敌,狼来了,耗费几万亿
高级模式 自动排版
您需要登录后才可以回帖 登录 | 注册

本版积分规则

复制链接 微信分享 快速回复 返回顶部 返回列表 关闭